Results

Journal Articles

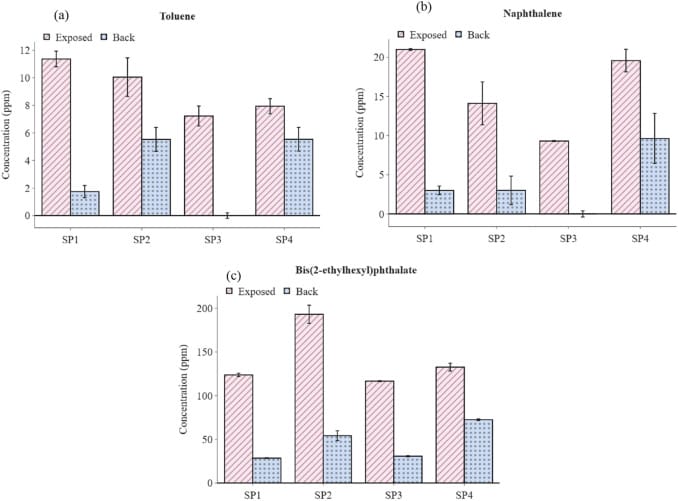
Fire Safety Journal, Volume 163, September 2026, 104841

Conferences
THE NATURE OF TOXICANTS MOVING ACROSS THE LAYERS OF FIRE SUITS
5th International Fire Safety Symposium (IFireSS 2025)

Workshops

First InToxFIRE Workshop


Understanding the Movement of Toxic Chemicals
through Firefighters Protective Clothing and PPE

12-Aug-2025

Webinar Agenda and Slides


The recorded presentations


In this video, “Arlene Kidd” presents “Membranes in Motion – Realising Toxins Through Breathable Membranes”, as the Director, Ardmel Group Ltd, UK.

Arlene Kidd - Membranes in Motion – Realising Toxins Through Breathable Membranes


In this video, “Kevin Howlette” presents “Through the Gear: The Hidden Threats Firefighters Face from Toxins and Evolving Hazards”, as the Director of projects, EHS International, Ireland.

Kevin Howlette - Through the Gear: The Hidden Threats Firefighters Face from Toxins and Evolving Hazards


In this video, “Richard Kesler” presents “Internal Combustion Engine Vehicles versus Electrical Vehicles: Chemical Characterization of Vehicle Fires”, as the research engineer, Fire Safety Research Institute, USA.  

Richard Kesler - Internal Combustion Engine Vehicles versus Electrical Vehicles: Chemical Characterization of Vehicle Fires


In this video, “Hamed Rasouli Sadabad” presents “How Effective are Gears at Blocking Chemical Exposure? What the Experiments Say”, as the postdoctoral research associate of the project in the InToxFIRE online workshop.

Hamed Rasouli Sadabad - How Effective are Gears at Blocking Chemical Exposure?What the Experiments Say


In this video, “Hamed Rasouli Sadabad” presents “A Survey on Limitations of Decontamination Procedures for Firefighters' PPE”, as the postdoctoral research associate of the project in the InToxFIRE online workshop.

Hamed Rasouli Sadabad - A Survey on Limitations of Decontamination Procedures for Firefighters' PPE


In this video, “Svetlana Tretsiakova-McNally” presents “The InToxFIRE project: Review of the First Year”, as the principal investigator of the project in the InToxFIRE online workshop.

Svetlana Tretsiakova-McNally - The InToxFIRE project: Review of the First Year